Purschuim, te vinden in matrassen, meubels en allerlei andere producten, levert een lastig te recyclen afvalstroom. Maar een team van de Universiteit Twente presenteert nu in Green Chemistry een duurzame methode om dit veelgebruikte materiaal om te zetten in herbruikbare bouwstenen.
Alom aanwezig purschuim, voorkomend in talloze producten, eindigt na gebruik vrijwel altijd op de vuilnisbelt of in de verbrandingsoven wegens gebrek aan een efficiënt recycleproces. Zo vereisen huidige processen de inzet van het giftige fosgeen om de bouwstenen te kunnen hergebruiken. Zodoende blijft recycling van purschuim op grote schaal vooralsnog buiten bereik.
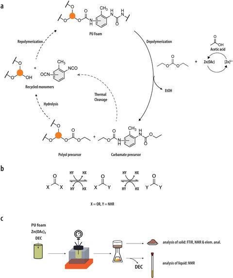
Daar kan mogelijk verandering in komen, nu onderzoekers van de Universiteit Twente een nieuwe, milieuvriendelijke methode hebben ontwikkeld om het schuim af te breken naar de oorspronkelijke bouwstenen. Zonder gebruik van gevaarlijke chemicaliën. ‘Met onze chemische methode depolymeriseren we purschuim tot de monomeren, waarna deze via een groene methode terug in te zetten zijn’, zegt supramoleculair chemicus Jurriaan Huskens, hoogleraar aan de Universiteit Twente en projectleider van dit onderzoek.

Geen fosgeen
Purschuim, oftewel polyurethaanschuim, valt met huidige methodes al te depolymeriseren tot een van de monomeren, polyol. Maar om het andere monomeer, het diamine, weer opnieuw te kunnen inzetten voor de vorming van pur is fosgeen nodig. Onbezoldigd hoogleraar en chemicus Jean-Paul Lange, ook van de Universiteit Twente, besloot op zoek te gaan naar een betere methode en ging hierbij de samenwerking aan met Huskens.
‘Met de juiste condities is daarmee wel negentig procent van beide componenten terug te winnen’
Jurriaan Huskens
Samen met promovendus Ege Hosgor, eerste auteur van de studie, tonen ze nu in Green Chemistry aan dat met gebruik van diethylcarbonaat, purschuim op een onschadelijke wijze is af te breken tot beide precursors, die daarna zonder fosgeen gerepolymeriseerd kunnen worden. Huskens: ‘Met de juiste condities is daarmee wel negentig procent van beide componenten terug te winnen.’
De huidige methode biedt meerdere groene voordelen en maakt een circulaire synthese van purschuim mogelijk. ‘Zo vermijdt het de aanmaak van giftige amines als tussenproduct en de vrijgave van chloride-afval bij het gebruik van fosgeen’, zegt Lange. ‘Daarbovenop is het carbonaatreagens volledig hernieuwbaar te maken uit ethanol en koolstofdioxide.’
Vloeibare substantie
De onderzoekers testten hun reacties op verschillende soorten purschuim, van matrassen en meubels tot sportzolen en sponsjes. ‘We voegden kleine hoeveelheden van dit purschuim direct toe aan het diethylcarbonaat’, zegt Huskens. ‘Dat bleek al snel goed te werken, mits we een voldoende hoge temperatuur en een katalysator gebruikten, zinkacetaat, om de reactie te versnellen. Als we dit allemaal een paar uur met elkaar lieten reageren hielden we uiteindelijk een zo goed als vloeibare substantie over. Het werkte voor alle verschillende soorten purschuim even goed.’

Al is dat pas waar het echte werk voor de onderzoekers begon. Huskens: ‘De analyse naar de productverdeling van dit vrij complexe mengsel van stoffen vormde de grootste uitdaging. In het begin zitten er nog meerdere oligomeren in het mengsel en komen de amines die niet door een carbonaat bezet zijn in verschillende isomeren voor. Met NMR zijn we gaan bestuderen wat de verdeling van monomeren en oligomeren was, hoeveel functionele groepen er om de monomeren heen zaten en ga zo maar door. Hoewel de chemie zelf eigenlijk al behoorlijk snel goed liep, vereiste de analyse nog een hoop expertise van buitenaf.’
’We hebben nog veel te verfijnen’
Jean-Paul Lange
Mogelijk duurder
Zoals wel vaker bij doorbraken in de academische wereld is er nog flink wat werk nodig om het proces op te schalen naar de industrie. ‘Ons huidige proces is vrij complex en geeft nog niet de gewenste monomeren vrij, maar enkel de precursoren die vervolgens weer omgezet kunnen worden naar de monomeren’, zegt Lange. ‘Daarnaast is diethylcarbonaat duurder dan fosgeen, waardoor ik schat dat het proces ondanks de verlaagde toxiciteit meer kosten met zich mee zal nemen dan huidige methodes.’
Als volgende stap willen de onderzoekers daarom dieper ingaan op zowel de scheikunde als de technische kant van het verhaal. Lange: ‘Op scheikundig vlak willen we de opbrengst van de reactie vergroten, kijken welke ongewenste bijproducten ontstaan en bestuderen hoe die de reactie benadelen. Op technisch vlak moeten we de kosten gaan analyseren, de kinetiek en thermodynamica van alle stappen bepalen en op zoek gaan naar de meest optimale apparatuur. We hebben nog veel te verfijnen.’
Ege Hosgor, et al., Polyurethane depolymerization by dialkyl carbonates: toward sustainable chemical recycling, Green Chemistry (2025), doi:10.1039/d5gc02533h










Nog geen opmerkingen