Al tientallen jaren zien onderzoekers die cysteïnes labelen met methaanthiosulfonaat-groepen een mysterieus dimeer ontstaan. Er zijn manieren om dimerisatie te vermijden, maar Martina Huber kon het niet langer negeren en ging met een team uit Leiden aan de slag om de tot nog toe onbekende structuur op te helderen. Het antwoord op de puzzel staat in ChemistryOpen.
De methaanthiosulfonaat-groep is een veelgebruikte functionele groep bij het (spin of fluorescent) labelen van de zwavel bevattende cysteïnes in proteïnes. Zo ook het label MTSL. Het werkt selectief, maar bij een te hoge concentratie vormt het een dimeer met zichzelf. Daardoor ben je enigszins beperkt in het labelproces: je labelconcentratie mag niet hoger worden dan 200 µM, en omdat je het label in een 10:1-overmaat gebruikt, ben je gelimiteerd tot zo’n 20 µM proteïne. Er zijn manieren om dimerisatie enigszins te voorkomen, maar wat er precies gebeurt is in meer dan veertig jaar niet opgehelderd.
Knagen
‘Dat bleef aan mij knagen’, vertelt Martina Huber, universitair hoofddocent aan het Leids Instituut voor Onderzoek in de Natuurkunde (LION). Ze kwam zelf zo’n twintig jaar geleden in aanraking met het dimeer. ‘Omdat ik de cysteïnelabeling “fout” deed, zag ik het dimeer ontstaan, en collega’s gaven me toen tips om de vorming te vermijden.’ Er leek geen interesse te zijn in wat dat dimeer nu precies is, maar ondertussen sudderde het bij Huber door. ‘Je zou er toch achter moeten kunnen komen? Ik vind het wetenschappelijk gezien een beetje schandalig dat je er je intellectuele schouders voor ophaalt.’
Daarom stortte ze zich nietsvermoedend in het project. ‘Ik dacht dat het een klein project zou zijn, dus zette ik er vier jaar geleden een bachelorstudent op.’ Maar het bleek veel moeilijker dan gedacht. Zelf heeft Huber wel een achtergrond in de scheikunde, maar dit soort organische vraagstukken zijn niet haar specialiteit. Daarom schakelde ze de groep van universitair hoofddocent en organisch chemicus Mark Overhand (Leiden Institute of Chemistry) in.
Naïef
‘Op een bepaald punt dacht ik wel: waar bén ik aan begonnen?’ zegt Huber lachend. ‘Ik dacht naïef dat het met het radicaal te maken had, het nitroxide’, zegt Huber. ‘Maar dat bleek helemaal niet zo te zien, dat verraste me wel.’ Het team ontdekte dat alleen de methylsulfoxygroep een reactie aan gaat. ‘Mark zag de mogelijkheid dat het proton eraf gaat en zo de reactie in gang zet. Wat hielp bij de ontdekking – en wat voor mij verrassend was – is massaspectrometrie.’
Je kunt de isotopencompositie van een massapiek zodanig ontleden dat je een somformule krijgt. Alle auteurs uit dit project bezigden zich toen met het vinden van een bijpassende en zinvolle reactie. Het vraagstuk was zo uitdagend dat het zelfs deel werd van het promotietraject van René Dekkers uit Overhands groep. ‘Het was heel leuk om te zien dat die scheikundigen zich hier zo in vastbijten, zelfs bij een obscuur probleem van een stel natuurkundigen.’
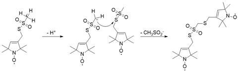
De reactie (zie hieronder) start dus met het verlaten van een proton (H+) van het methyl. Het achtergebleven elektronpaar valt dan het zwavelatoom aan van een tweede MTSL-molecuul, waarbij het methylsulfoxy-gedeelte het molecuul verlaat en het dimeer ontstaat.

Scope
Het interessante is dat ook fluorescente labels met methylsulfoxygroepen kampen met dit probleem, zegt Huber. ‘Maar omdat je met fluorescentietechnieken lagere concentraties gebruikt, is het minder problematisch. Daarmee is de scope van het probleem dus opeens een stuk groter geworden, maar niet per se ernstiger.’ Met deze publicatie hoopt Huber dat er ‘slimme synthetici opstaan die een alternatief kunnen verzinnen’ voor het linking-gedeelte die niet in staat is tot dimerisatie.
Huber bezingt de ‘moed van de scheikundigen die dit probleem oppakten’. ‘Het eist vertrouwen in iemand die langskomt met de vraag of je iets uit kunt zoeken. En ik ben onder de indruk van hoe ver de organische chemie vooruit is gegaan, vooral in combinatie met de kwantumchemie. Het is heel fascinerend, ook al doe ik er zelf niks meer mee.’
Passerini, L. et al. (2025) ChemistryOpen e202500314, DOI: 10.1002/open.202500314










Nog geen opmerkingen