Welkom bij C2W | Mens&Molecule. Deze site gebruikt cookies. Lees hier onze cookiestatement. Zie ook ons privacystatement.

ScienceLink is een platform voor exacte wetenschappen en technologie
Martina Huber en het mysterieuze dimeer
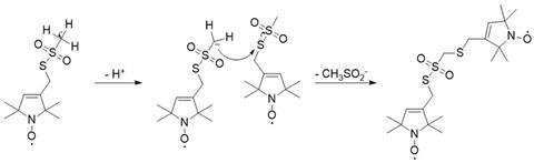
Reactiemechanisme mysterieuze dimeer